笔墨书师恩,征文传真情
——教科院举办“弘扬践行教育家精神”主题征文活动
璀璨星河,知识传承;教书育人,师道永存。为弘扬尊师重教的传统美德,促进师生情感交流,增进师生间的理解和尊重,增强学生的文学创作能力,提升学生的文化素养,教科院特举办“弘扬践行教育家精神”主题征文活动。
以下为此次征文活动优秀作品展示:
一等奖
|
|
|
|
|
|
|
|
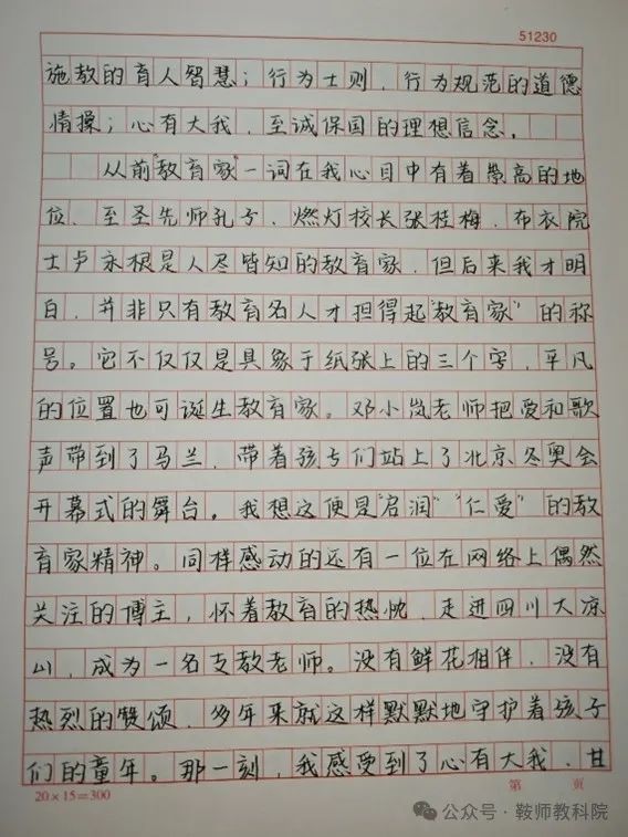
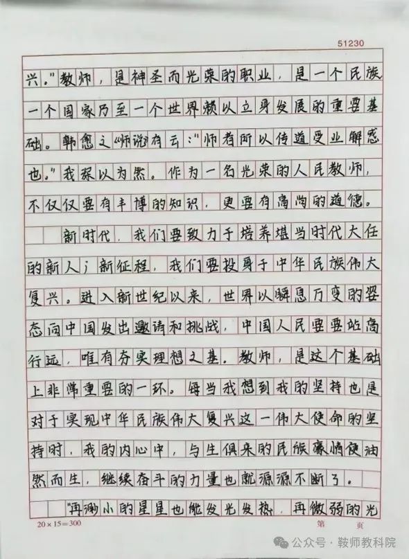
2412班吴佳淼
二等奖
|
|
|
|
|
|
|
|
|
|
|
|
|
|
2411宰林
三等奖
|
|
|
|
|
|
|
|
|
|
|
|
|
|
|
|
|
|
|
|
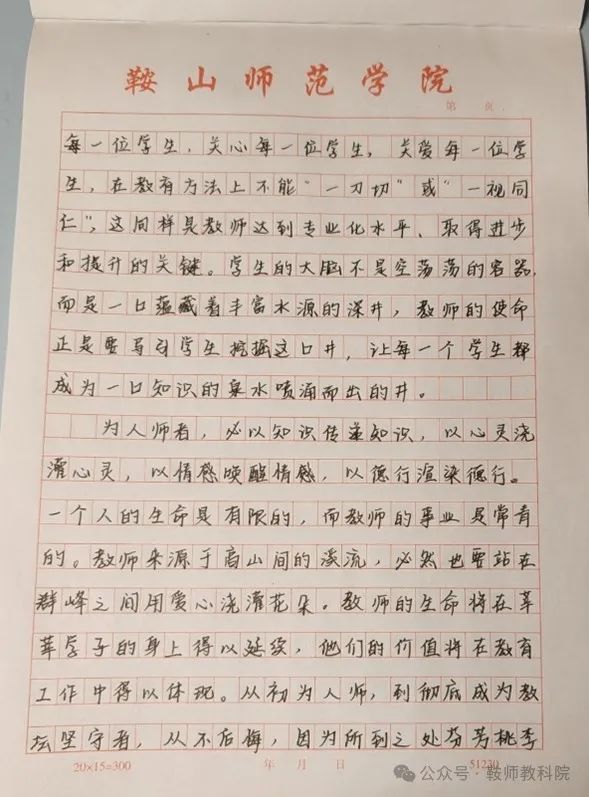
2405袁建斌
优秀奖
|
|
|
|
|
|
|
|
|
|
|
|
|
|
|
|
此次征文活动进一步营造了学院尊师重教的良好氛围,为教科院的学子们提供了向老师表达感激之情的良好平台,激发了学生们对教师职业的尊重与赞美。愿每位同学都能铭记师恩,励志前行,以梦为马,不负韶华,共创辉煌!
本次参赛的所有作品将在职教城校区展出。